Follow us on Twitter and win Autohex II Scan Tool for Kia and Hyundai (worth 945.00 USD)

P0101 Mass or Volume Air Flow Circuit Range / Performance

AutoHex Online Help: Hyundai H-1(A1) 2007
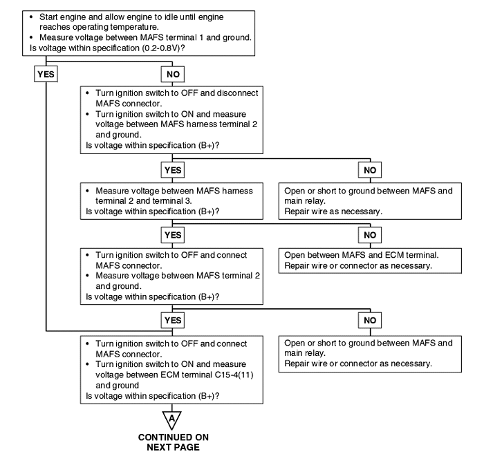
TROUBLESHOOTING FOR DTCS (MELCO EMS)
DIAGNOSTIC ITEM

DTC

Diagnostic item

P0101

P0102

P0103

Mass Air Flow Circuit Range/Performance Problem

Mass Air Flow Circuit Low Voltage

Mass Air Flow Circuit High Voltage

TEST PROCEDURE